السلام
عليكم ورحمة الله وبركاته ..
#طليموس_العرب
وهو
احد #علماء_الحضارة_الإسلامية في اوج ازدهار #الدولة_العباسية دولة العلوم, الا
وهو بطليموس العرب ! فتعالوا نتذاكر خبره ومن هو ؟ ..
.
.
هل اتاكم خبر الفلكي و الرياضي بطليموس العرب ؟!
تعالوا
معي نبحر لزمن الدولة العباسية بالتحديد عصر الإزدهار و العلوم وعلى بركة الله
نتحدث عن صاحب الفلسفة و الرياضيات خليل النجوم و الأفلاك احد علماء الحضارة
الإسلامية إذ قيل عنه #بطليموس_العرب ولقب الرقي لمقامه بالرقة في الشام كان صابأً
واسلم فلكي و رياضي كبير ذا علم بالجبر و الفلسفة انه محمد بن جابر بن سنان
الحراني الرقي الصابئ، أبو عبد الله المعروف بالبتاني (1) : فلكي مهندس،
يسميه الفرنج Albategni أو Albatenius ولد قبل سنة 244 هـ (858 م) وكان من أهل
(حران) وسكن (الرقة) واشتغل برصد الكواكب من سنة 264 إلى 306 هـ. ورحل مع بعض أهل
الرقة إلى بغداد، في ظلامات لهم، فلما رجع مات في طريقه بقصر الجص، قرب سامراء,وقد عاش معظم حياته في
الرَّقة ببلاد الشام، ولهذا كان يلقب بالرَّقيّ، وقد تخلّى عن عقيدة الصابئة واعتنق الإسلام .
.
.
حياته :
ولد عام 854مـ ، وعاش في عصر ازدهار العلوم في عهد الخليفة المأمون بن الخليفة هارون الرشيد. تنقل بين الرقة وأنطاكية التي أنشاء بها مرصد البتاني حيث عكف علي دراسة
المؤلفات السابقة خاصة كتاب (السند هند) وكتاب (المجسطي). كان المأمون قد بني مرصد
ببغداد – أغلب مهماته تحديد مواقيت الصلاة للمسلمين - تحت إشراف " سند بن علي
" الذي كان رئيسا للفلكيين في هذا العصر. ولم يكن هو المرصد الوحيد فقد كانت
هناك عدة مراصد متفرقة في أنحاء بلاد العرب الإسلامية، وقد حرص الخلفاء علي تزويد
تلك المراصد بأجهزة فلكية بالغة الدقة. كان من صناع تلك الأجهزة المهندس علي بن
عيسي الأسطرلابي – وهو لشهرته في صناعة هذا الجهاز، وكان منهم أبو علي يحيي بن أبي
منصور.
.
.
اخباره :
وهو صاحب (الزيج - ط) المعروف بزيج الصابئ، ثلاثة أجزاء، وطبعت ترجمته إلى اللاتينية
في نور مبرج سنة 1537 م باسم Scientia Stellarum وقالوا إنه أصح من زيج
بطليموس.
ومن كتبه (معرفة مطالع
البروج فيما بين أرباع الفلك) و (شرح أربع مقالات لبطليموس) ورسالة في (تحقيق
أقدار الاتصالات)
ولم يعلم أحد في الإسلام
بلغ مبلغ ابن جابر في تصحيح أرصاد الكواكب وامتحان حركاتها.
وكان يرصد في الرقة على
الضفة اليسرى من الفرات.
وهو - كما يقول محمد
مسعود - أول من كشف السمت Azimuth والنظير Nadir وحدد نقطتيهما من السماء.
والكلمتان عند علماء
الفلك الإفرنج، عربيتان.
واكتشف حركة الأوج
الشمسي وتقدم المدار الشمسي وانحرافه، والجيب الهندسي والأوتار (2) ويقول المستشرق
(نلينو) إن له رصودا جليلة للكسوف والخسوف اعتمد عليها دنتورن Dunthorne سنة 1749 في تحديد تسارع القمر في حركته خلال قرن من الزمان.
وقال لالند (3) Lalande الفلكي الفرنسي: (البتاني أحد الفلكيين العشرين الأئمة الذين
ظهروا في العالم كله)
§
.
.
اعماله :
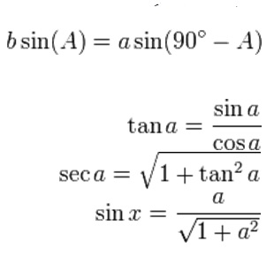
سهم في مجال علم الجبر وحساب المثلثات وإليه ينسب الفضل في ابتكار
مقاليب النسب المثلثية الأساسية )قا، قتا، ظتا)
§
يقال أيضا أن البتاني
كان من أوائل من اكتشفوا كروية الأرض، وأن كل كوكب يسير في مسار بيضاوي.
§
الأستاذ الزركلي في
كتابه الأعلام (لم يعلم في الإسلام بلغ مبلغ بن جابر – البتاني – في تصحيح أرصاد
الكواكب وامتحات حركاتها .
§
في نفس المرجع السابق
هو (أول من كشف السمت (azimuth) والنظير (nadir) وحدد نقطتهما في السماء .
§
أول من اكتشف حركة
الأوج الشمسي وتقدم المدار الشمسي وانحرافه.
§
يقول "نيلنو"
(إن له رصودا جليلة للكسوف والخسوف اعتمد عليها دنتورن سنة 1749 م في تحديد تسارع
القمر في حركته خلال قرن من الزمان .
§
يقول لالند
الفرنسي : (البتاني أحد الفلكيين العشرين الأئمة الذين ظهروا في العالم كله .
§
هو أول من اكتشف هذه
الصيغ المثلثية:[2]
.. انتهى ..
.
.
المصدر :
الأعلام للزركلي .
مجلة المعرفة ..

ليست هناك تعليقات:
إرسال تعليق